![]() |
|||
e - Funktionen |
|||
![]() |
|||
| Nullstellen | ![]() |
kleiner
Tip am Rande :
ln e = 1 |
|
| Extrempunkt
und Nachweis |
![]() |
kleiner Tip am Rande :
Den ersten Teil hatten wir oben schon mal. Ansonsten bitte nicht vergessen : eine Potenz von e wird niemals Null! |
|
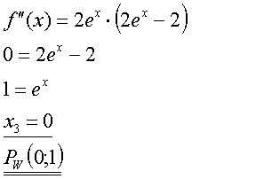
| Wendepunkt | ![]() |
kleiner Tip am Rande :
Wieder einmal haben wir beide Faktoren getrennt betrachtet. |
|
| Verhalten im Unendlichen | An der Funktionsgleichung erkennt man :
Die Standard-e-Funktion wird um zwei Einheiten nach unten verschoben. Sie nähert sich also für sehr negative x-Werte der Gerade y = -2 an. Für sehr positive x-Werte ändert sich nichts. Durch das zu bildende Quadrat werden sich die Funktionswerte im negativ Unendlichen der 4 annähern : ![]() |
||
| Graph | ![]() |
kleiner Tip am Rande :
Man sollte noch einige Punkte von Hand berechnen. Übrigens wird die Gerade y=4 etwa an der Stelle 1,39 geschnitten. |
|
Post an mich |
Startseite |
honich.de |