![]() |
|||
| gebrochen-rationale Funktionen | |||
![]() |
|||
| Def.-Bereich, Stetigkeit | Wie erwartet, ist dazu der Nenner zu untersuchen.
Die Funktion hat also zwei Polstellen bei -1 und +1. |
||
| Nullstellen | Eine entsprechende Rechnung kann ich mir sparen.
Bei x = 0 hat f(x) mit Sicherheit eine Nullstelle. |
||
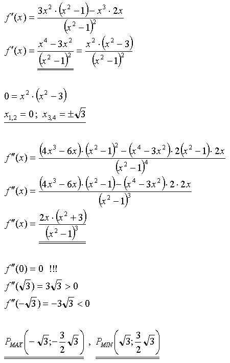
| Extrempunkte
und Nachweis |
Wir berechnen zunächst die erste Ableitung :
Die mögliche Extremstelle x = 0 stellt sich nach Untersuchung mit der 2. Ableitung nicht als solche heraus. Wieder mal ein Sattelpunkt ? |
Randbemerkung:
Natürlich rechnet man hier mit der Quotientenregel und untersucht nur den Zähler. Der Nenner ist ja schon erledigt... |
|
| Wendepunkt
und Nachweis |
Die weiteren Ableitungen bestätigen die Sattelpunkt - Hypothese.
![]() |
Randbemerkung:
Der ausführliche Rechenweg der dritten Ableitung war mir hier zu lang ... |
|
| Verhalten im Unendlichen | Mittels Division schreiben wir den Funktionsterm als Summe :
Ergebnis: f(x) nähert sich im Unendlichen der Asymptote a(x) an. |
||
| Graph | Alle Merkmale gemeinsam ergeben folgendes Bild:
![]() |
||
Post an mich |
Startseite |
honich.de |