|
II ... Bestimmtes Integral
|
|
Bei der Berechnung von Flächeninhalten berufen wir uns auf den
Hauptsatz der Differential- und Integralrechnung :
|
|
| Anhand eines einfachen Beispiels wird die Anwendung des Hauptsatzes
demonstriert.
Funktionsgleichung und Integrationsgrenzen sind dabei zunächst
willkürlich vorgegeben, die Skizze entspricht dem Sachverhalt weitgehend:
Der geübte Beobachter erkennt, daß in diesem Beispiel die Fläche
auch ohne den absoluten Betrag berechenbar wäre, weil sie oberhalb
der x-Achse liegt und daher schon positiv ist. Aber was nichts nützt,
schadet in diesem Fall auch nicht. Außerdem: Wie soeben gesehen,
sollte vor allen Berechnungen eine Skizze des Sachverhaltes angefertigt
werden ! |
|
|
Aufgaben zur Ergänzung des Unterrichts
|
1.
Die ganzrationale Funktion f(x) schließt mit der x-Achse
und den Geraden x = -2 und x = 1 eine Fläche vollständig ein.
Berechnen Sie den Flächeninhalt !
 |
2.
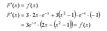
Gegeben sind die Gleichungen zweier Funktionen
f(x) und F(x).
(a)
Berechnen Sie die Nullstellen und skizzieren Sie den Graph von f(x)
! (b) Weisen Sie nach, daß
F(x) eine Stammfunktion
von f(x) ist ! (c) Berechnen Sie den Inhalt der Fläche,
die von f(x) und der x-Achse vollständig umgeben ist !
 |
3.
Eine ganzrationale Funktion 4. Grades schneidet bzw. berührt die
x-Achse in drei Punkten und schließt mit ihr eine Fläche vollständig
ein. Berechnen Sie den absoluten Flächeninhalt !
 |
4.
Die trigonometrische Funktion f(x) schneidet die x-Achse an
den Stellen a und b sowie in weiteren Punkten. Berechnen Sie die Fläche
zwischen f(x) und der x-Achse im Intervall von x=a bis x=b !
 |
5.
Zwei ganzrationale Funktionen f(x) und g(x) schneiden
sich in den Punkten A, B und C. (a) Skizzieren Sie den Sachverhalt
! (b) Berechnen Sie den Inhalt der Fläche zwischen
f(x)
und g(x) im Intervall von x=a bis x=b !
 |
6.
Im 1. und 2. Quadranten des Koordinatensystems schneiden sich die Funktion
f(x)
und die Gerade g(x) in genau zwei Punkten. (a) Berechnen
Sie die Schnittpunkte und veranschaulichen Sie den Sachverhalt ! (b)
Welche Fläche wird von beiden Graphen eingeschlossen ?
 |
7.
Gegeben sind die Gleichungen zweier Funktionen
f(x) und F(x).
(a)
Berechnen Sie die Nullstellen und skizzieren Sie den Graph von f(x)
! (b) Weisen Sie nach, daß
F(x) eine Stammfunktion
von f(x) ist ! (c) Berechnen Sie den Inhalt der Fläche,
die von f(x), den Koordinatenachsen und der Gerade x=4 begrenzt
ist !
 |
8.
Die gebrochenrationale Funktion f(x) schließt mit der
x-Achse sowie mit den Geraden x=1 und x=3 im ersten Quadranten eine Fläche
ein. Berechnen Sie deren Maßzahl !
 |